0
There are not items in your cart.
Visit Shop
Product is not available in this quantity.

Apply this essential oil to your clothing regularly to experience the benefits
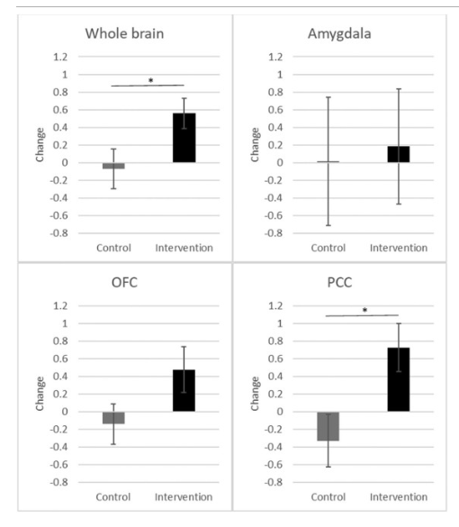
The below article is a landmark study in aromatherapy science that provides evidence for the use of natural scent driven therapies with uses in prophylactic applications. Rose specifically protects against neurodegeneration and actively promotes brain architecture development resulting in cognitive and emotional benefits.








source
https://www.sciencedirect.com/science/article/pii/S0361923024000297?via%3Dihub


Apply this essential oil to your clothing regularly to experience the benefits
The below article is a landmark study in aromatherapy science that provides evidence for the use of natural scent driven therapies with uses in prophylactic applications. Rose specifically protects against neurodegeneration and actively promotes brain architecture development resulting in cognitive and emotional benefits.








source
https://www.sciencedirect.com/science/article/pii/S0361923024000297?via%3Dihub